Chapin Mill Energy

Energy Comparisons

Weather

Since a major focus of this study is the comparison of the rates of natural gas and electricity consumption under various uses of the retreat center it must take into account the outdoor air temperatures that obtained during the times of those uses. (One occupant may have used an unusually high amount of gas for heating but this may have been due to unusually cold conditions and not some systematic preference.) We only have regular records of these temperatures up until March of 2023 because at that time Chapin Mill switched HVAC control systems from Teletrol/Ensemble to Delta/enteliWEB, and enteliWEB does not automatically keep a long-term record of temperatures. Thus the study restricts itself to the earlier Ensemble period.

These temperature readings required some adjustment. After comparing the historical maximum and minimum daily temperatures that the National Oceanic and Atmospheric Administration (NOAA) provides for Batavia it became obvious that Ensemble was reporting readings that were predictably higher than reasonable for very cold days. This is almost certainly because the Chapin Mill thermistor was too close to the kitchen which is usually much warmer than the rest of the retreat center. I fit a statistical model to the two sets of temperatures—Ensemble and NOAA—and used the results to adjust the Ensemble readings so that they were more realistic.

Energy Consumption

The plot below describes the rate of retreat center energy consumption for the past few months as reported by the gas and electric meters. Gas values are in hundreds of cubic feet per day and electricity values are in killowatt hours per day. (So I guess that makes the units for electricity 1000/24 ≈ 42 watts.) Using historical billing data we can estimate the price of gas and electricity and so can convert the two types to dollars and add them up. Thus one of the panels in the plot describes the rate of overall cost of energy consumption.

energy.png

The next plot immediately below describes the total energy consumption in terms of dollars for all the data currently available. That is, it reproduces the dollars per day panel of the previous plot for more than just the last few months. Since a lot of the recent activity is unusual due to the Covid-19 pandemic lockdown this gives a more informative view of typical historical patterns.

dollars.png

Before modeling the data in a more formal way it might be useful to consider simple summaries. Over the last few years I have been noting the power consumption for the retreat center for both gas and electricity approximately every two days. The plot below describes the distribution of these observations—and the derived dollar cost—over all times of the year and over all events.

hist.png

To be slightly more precise, 95% of the time the observed electricity power consumption was less than 320 kWh per day, gas consumption was less than 44 hundred cubic feet per day and the overall energy cost was less than 53 dollars per day.

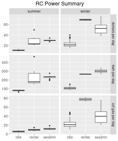
It is also possible to compare the rates of retreat center energy consumption for different users and different seasons. If we restrict ourselves to time periods from February 2015 through June 2017 during which the center was hosting either a sesshin, a rental, or absolutely nothing, and then plot the meter readings we get the figure below. (Here "rental" implies just the two outside organizations described in the following paragraphs, namely the Toronto and UR groups. Also, winter is November, December, January, February, and March and summer is June, July, and August.) The plot summarizes—for each combination of occupancy/season—the distribution of power values observed for both natural gas and electricity, and the derived dollar values. Each such combination has a heavy horizontal line corresponding to the median, an enclosing box describing the middle 50 percent, and whiskers extending out to the extreme values. For example, the upper right-hand figure tells us that during a winter sesshin the center is burning up gas and electricity at an average rate of a little over 50 dollars per day, and that half of the observed readings are within 45 and 60 dollars.

regime.png

In order to study the dependence of gas consumption on outdoor temperature more particularly I looked at the time period from early February 2015 to early May 2015. The plot corresponding to that period is below. During that time span there were several different types of events including

  • Rochester Zen Center sesshins,
  • a Satipaññā Insight Meditation Toronto (simt) retreat and
  • a University of Rochester MBSR (ur) retreat.

The plot assigns different colors to these different periods. Most of the time that fell outside of scheduled events qualifies as idle, meaning that there was no activity going on aside from that required to maintain a minimal crew. (The uncolored non-idle times were those for which some extra energy consumption was going on. For example the cold room may have been running or the zendo may have been heated for sesshin setup.)

energy2.png

If you look carefully at the above plots you may notice—as you would expect—that gas consumption decreases as it gets warmer outside. The next figure is a scatterplot of idle gas usage versus average outside air temperature for the period from February 2015 through July 2015. That is, any given gas value is the rate at which we used gas over a two-day period and the corresponding temperature value is the average of the temperature readings over that period.

scatter.png

A possible elaboration of this report might consider electricity consumption for the summer months as opposed to winter months as well. However, right now it looks overwhelmingly likely to me that the results would not be very interesting.

Natural gas

For a given level of occupancy of the retreat center it would be natural to consider gas consumption as consisting of two parts:

  • a base rate that doesn't change significantly from day to day, and
  • an additional rate that scales with the outdoor temperature. (The colder it gets the greater this part.)

In what follows I have assumed that the average base rate is common among all the different retreat center occupants but not the scaling factor that applies to outdoor temperature. This might not be valid if there were reason to think that different occupants stressed the heating system differently independently of how cold it was outside. For example, if one group took more hot showers than another or ran the dishwasher or clothes washers and driers more often. But in light of the magnitude of the effects described below it seemed likely to me that these possible differences would not be important.

The data support a fairly good estimate of the base rate and very robust estimates of the outdoor temperature scaling factors. These scaling factors relate gas consumption in ccf (100s of cubic feet) per day to degrees Fahrenheit. 95% confidence intervals are

Coefficient Estimates
95% confidence intervals
min max
IdleScale 0.50 0.68
SesshinScale 1.05 1.28
SimtScale 1.34 2.00
UrScale 1.32 2.25

Roughly speaking these imply that the incremental consumption associated with a 1 degree drop in outside air temperature is normally 0.59 ccf per day. During sesshin this increases by 99 percent to 1.17 ccf per day and during a SIMT retreat it increases by 184 percent to 1.67 ccf per day. (The UR gas consumption is essentially the same as that for SIMT.)

Historically the price per ccf of natural gas for Chapin Mill is 55 cents. Altogether the scales and base rate tell us that if the average outside air temperature is say 25 degrees Fahrenheit then the amount spent on gas per day during idle, sesshin and SIMT/UR periods would be around 16, 28, and 39 dollars respectively.

The plot below describes both observed and predicted gas consumption for the study period. As before in the raw data plot the units are thousands of cubic feet per day. (There are only predictions for times that are either idle, sesshin, SIMT or UR.)

diagnostic.png

Electricity

For the period under consideration electricity usage did not vary with outside air temperature in a significant way. The data only established separate estimates of electricity consumption in kWh per day for idle and occupied periods.

Coefficient Estimates
95% confidence intervals
min max
Idle 100 113
Sesshin 278 313
SIMT 208 253
UR 287 332

On average the retreat center consumes 107 kWh per day outside sesshin. During sesshin this increases by 177 percent to 295 kWh per day and during a SIMT retreat the corresponding increase is 116 percent to 230 kWh per day. (The UR electricity consumption is only slightly above that for sesshin.)

Assuming that the average price of electricity for Chapin Mill is 10 cents per killowatt hour the amount spent on electricity per day during idle, sesshin/UR and SIMT periods is about 11, 30, and 23 dollars respectively.

Summary of Rental Impact

Taking a SIMT retreat to be typical of renters in general and assuming the usual costs for gas and electricity (55 cents per ccf and 10 cents per killowatt hour) a summary of the energy expense of winter and summer events as contrasted with the ordinary expense when nothing special is going on looks as follows.

On a typical winter day renters use 72 ccf (39 dollars) and 230 kWh (23 dollars) for a total of 62 dollars while on a summer day they use 5 ccf (3 dollars) and 230 kWh (23 dollars) for a total of 26 dollars.

The corresponding values for idle times are 29 ccf (16 dollars) and 107 kWh (11 dollars) for a total of 27 dollars in the winter and 5 ccf (3 dollars) and 107 kWh (11 dollars) for a total of 14 dollars in the summer.

Details

The natural gas model is \[ y = \alpha_0 + \left\{\begin{array}{ll} \alpha_1x + \epsilon & \mbox{for idle periods} \\ \alpha_2x + \epsilon & \mbox{for sesshin periods} \\ \alpha_3x + \epsilon & \mbox{for SIMT periods} \\ \alpha_4x + \epsilon & \mbox{for UR periods} \end{array} \right. \]

Here, \(y\) is the rate of gas consumption in hundreds of cubic feet per day, \(x\) is average negative temperature in degrees Fahrenheit (described below), and \(\epsilon\) is the normally distributed error.

The observations/experimental units used to build the model are usually periods of around two days which corresponds to the frequency with which I noted gas and electricity consumption. Because Ensemble samples the temperature about every 15 minutes a period can include on the order of 200 different temperature readings. If \(t_1, t_2, \ldots, t_n\) are the temperature readings for a period then for \(i = 1,2,\ldots,n-1\) let \[ t^*_i = (t_{i+1}+t_i)/2, \] let \(h_i\) be the length of time between readings \(i\) and \(i+1\), and finally let \[ x = \frac{\sum_1^{n-1} h_i(65-t^*_i)_+}{\sum_1^{n-1} h_i} \] where the notation \((w)_+\) means that \((w)_+ = \max(0,w)\). Thus \(x\) is the average degrees below 65 for the period, or in other words, \(x\) is the average degree-days per day.

The α parameter estimates and their standard errors look as follows:

Coefficient Estimates
Estimate Std. Error t value Pr(>|t|)
α₀ 5.33 1.49 3.57 0.00
α₁ 0.59 0.05 12.84 0.00
α₂ 1.17 0.06 20.16 0.00
α₃ 1.67 0.17 9.81 0.00
α₄ 1.79 0.24 7.56 0.00

Similarly the electricity model is \[ y = \left\{\begin{array}{ll} \beta_1 + \epsilon & \mbox{for idle periods} \\ \beta_2 + \epsilon & \mbox{for sesshin periods} \\ \beta_3 + \epsilon & \mbox{for SIMT periods} \\ \beta_4 + \epsilon & \mbox{for UR periods} \end{array} \right. \] where \(y\) is electricity consumption in kWh per day and the \(\epsilon\) are error. The estimates and errors are:

Coefficient Estimates
Estimate Std. Error t value Pr(>|t|)
β₁ 106.63 3.50 30.45 0.00
β₂ 295.20 8.86 33.33 0.00
β₃ 230.31 11.44 20.14 0.00
β₄ 309.73 11.44 27.08 0.00

Created: 2026-01-18 Sun 13:56

Validate